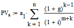
Заем со растечки ануитети

Capital Expenditure - почетна инвестиција за изградба, во мил. денешни евра

Сопствено учество за изградба, во мил. евра

Денешна вредост на заемот, во мил. евра

Стапка на инфлација

Број на транши на заемот (бр. на години додека се прима заемот)

Износ на кредитот, примен во m транши, во мил. евра (идни)

Број на годишни ануитети (број на години на отплата на заемот, под услов годишната добивкада биде pr-tr-a>0)

Каматна стапка на заемот

Стапка на раст на ануитетите

Годишни ануитети, во мил. евра

Прв ануитет, мил евра

Последен ануитет, мил евра

Вкупно вратени пари со n растечки ануитети

Вкупен каматен трошок, во идни евра

Сегашна вредност на сите вратени ануитети, мил денешни евра

Сегашна вредност на заемот K во m транши

Годишен приход, во мил. денешни евра

Годишен трошок, во мил. денешни евра

Експлоатациски век, во години

Остаточна вредност на проектот, мил. денеш. евра

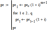
Приходи по години од почетокот на експлоатацијата, во мил. идни евра

Трошоци по години од почетокот на експлоатацијата, во мил, идни евра

Приходи и трошоци во евра/год. од почетокот на експлоатацијата на ПАХЕ „Чебрен“

Амортизациски план на заемот

Зголемен заем со акумулирана камата, на крајот од m-тата година (една година пред да започне отплатата), во мил. евра

Преостанат заем за отплата, годишна камата, годишна отплата годишна добивка во годината k на отплатата (на почетокот од годината m+k од нултата година)

Преостанат заем

Годишна камата

Годишна отплата

Годишна нето добивка (приходи минус расходи минус ануитети)

Годишна добивка за време на експлоатацискиот век од q години, во мил. идни евра

Преостанат заем, годишна камата и годишна отплата за n години, во мил. идни евра

Годишна добивка во идните q години, во мил. идни евра

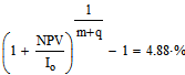
Принос на инвестицијата после m+q години, без земање предвид на временската вредност на парите:

Геометриски просечен годишен принос на инвестицијата

Реален годишен принос (без остаточна вредност)

Време на отплата на инвестицијата (payback period), без земање предвид на временската вредност на парите, во години:

(во години,мерено од почетокот на експлоатацијата)

Најкратко време n.min за поврат на инвестицијата, без камати, со земање предвид на временската вредност на парите (сета добивка оди на отплата), во години:

(n.min треба да го направи изразот еднаков на 0)

(Времето на враќање на целата инвестиција (CapEx) секогаш е подолго од времето на отплата само на заемот К)

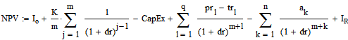
Нето сегашна вредност на проектот (Net Present Value- NPV)

Дисконтна стапка (стапка на инфлација i или цена на капиталот r)

Остаточна вредност на проектот, во мил. денешни евра

Нето сегашна вредност на проектот, во мил. денешни евра

Индекси на профитабилност (Profitability Index - PI)

Нето индекси на профитабилност

Нето индекс на профитабилност на сопственото вложување (учеството)

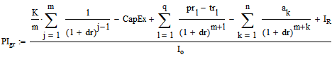
PI како количник на нето сегашната вредност и учеството на инвеститорот

(PI во однос на вкупната инвестиција CapEx)

Бруто индекс на профитабилност

Бруто индекс на профитабилност на сопственото вложување

Внатрешна стапка на принос (Internal Rate of Return - IRR)

(Ако теоретски би ги вкаматувале приходите по оваа стапка, што е прилично нереално)

NPV(IRR)=0

Модифицирана внатрешна стапка на принос. Приливите се вкаматуваат со стапката на инфлација, а одливите се дисконтираат со цената на капиталот (каматната стапка) како дисконтни стапки.

Модифицирана внатрешна стапка на принос (Modified IRR - MIRR)

(Со земање предвид на остаточната вредност)

Просечна геометриска годишна нето денешна вредност во однос на учеството (со земање предвид на остаточната вредност)

Минимално време на отплата на целата инвестиција за Грците, со земање предвид на приходите од „Тиквеш“ и берзанската цена на електрична енергија

Денешни приходи од Чебрен,

во мил. евра/год.

Денешни приходи од Тиквеш,

во мил. евра/год

Идни приходи од Чебрен и Тиквеш, во мил. евра/год

(Треба n.min да го направи изразот 0)

(Наместо после 18 години, Грците би ја вратиле инвестицијата само после 8 години после завршувањето на изградбата. Времето на отплата на заемот е уште пократко - околу 6 години)

Време на поврат на инвестицијата за Грците, без земање предвид на временската вредност на парите, во години